• Предмет: Математика
  • Автор: bk25
  • Вопрос задан 10 лет назад

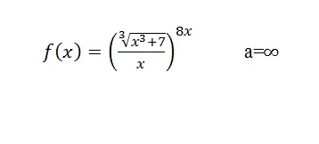
помогите найти предел функции у=f(x) при x→ a, используя 2й замечательный предел  

Приложения:

Ответы

Ответ дал: Evklid61
0
 lim_{x to infty}  frac{( sqrt[3]{x^3+7})^8^x }{x^8^x}= lim_{nxto infty} ( sqrt[3]{1+ frac{7}{x^3} })^8^x= lim_{x to infty}((1+ frac{7}{x^3})^ frac{1}{3})^8^x = \ = lim_{x to infty} (1+ frac{7}{x^3})^x^3^* ^ frac{8}{3x^2} =e^7^* frac{8}{3x^2}=e^7^*^ frac{8}{inft}=e^7^*^0=1
Вас заинтересует