• Предмет: Алгебра
  • Автор: zhenyablinkova1
  • Вопрос задан 10 лет назад

Поможете? срочно надо!!!! 

С графиками я не разбираюсь...

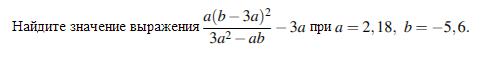
Приложения:

Ответы

Ответ дал: IrkaStrannaya
0
 frac{a(b-3a)^2}{3a^2-ab} = frac{a(3a-b)^2}{a(3a-b)}
в верхней скобке поменяла знак тк она в квадрате и ее значение от этого не изменится, это нужно для того чтобы она сократилась с нижней.
"а" тоже сокращается.
остается 3а-b т.е 6,54-(-5,6)=10,14
графики:
а-3
b-4
в-1








Вас заинтересует