• Предмет: Алгебра
  • Автор: Miykka
  • Вопрос задан 10 лет назад

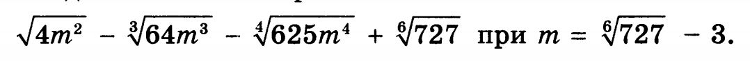
Нужно найти значение выражения :)

Приложения:

Ответа на этот вопрос пока нет. Попробуйте найти его через форму поиска.

Вас заинтересует