Ответы
Ответ дал:
0
Решение на фото ниже. Потери корней при делении не будет
Приложения:
Ответ дал:
0
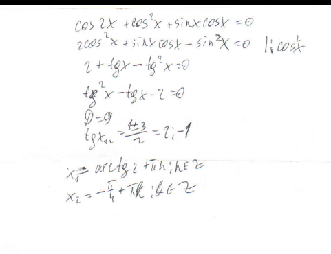
cos2x+cos²x+sinxcosx=0 ⇒cos²x-sin²x+cos²x+sinxcosx=0
2cos²x-sin²x+sinxcosx=0 ⇒делим на соs²x ⇒ 2-tg²x+tgx=0; ⇒tgx=y ⇒
2-y²+y=0 ⇒y²-y-2=0;⇒y₁=1/2+√(1/4+2)=1/2+3/2=2;y₂=1/2-3/2=-1;⇒
tgx=2;⇒x=arctg2+πk,k∈Z;
tgx=-1;x=arctg(-1)+πk,k∈Z
2cos²x-sin²x+sinxcosx=0 ⇒делим на соs²x ⇒ 2-tg²x+tgx=0; ⇒tgx=y ⇒
2-y²+y=0 ⇒y²-y-2=0;⇒y₁=1/2+√(1/4+2)=1/2+3/2=2;y₂=1/2-3/2=-1;⇒
tgx=2;⇒x=arctg2+πk,k∈Z;
tgx=-1;x=arctg(-1)+πk,k∈Z
Приложения:
Вас заинтересует
3 года назад
3 года назад
8 лет назад
10 лет назад
11 лет назад