• Предмет: Алгебра
  • Автор: Аноним
  • Вопрос задан 10 лет назад

Упростите дробь и найдите её значение.
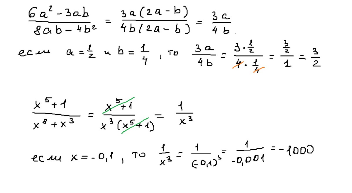
1)6 а(в квадрате) -3аb(дробная черта) 8ab - 4 b(в квадрате) при а=1(дробная черта) 2, b=1 (дробная черта) 4.
2)х(в пятой степени) + 1(дробная черта) х(в восьмой степени)+х(в третьей степени) при х=-0,1.
Нужно очень срочно,помогите пожалуйста.Даю 40 баллов.

Ответы

Ответ дал: esmilya
0
Если понравилось решение - нажимай "спасибо" и "лучший" (рядом с кнопкой "спасибо") :)
Приложения:
Ответ дал: Аноним
0
Большое спасибо,ты меня спасла.
Ответ дал: esmilya
0
))))))))))))))
Ответ дал: esmilya
0
давай
Вас заинтересует