Лёгкий пример за 7 класс.
Ответ я знаю,но я хочу понять,как решить это.
Спасибо,жду вас!
Приложения:

Ответы
Ответ дал:
0
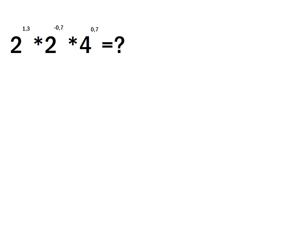
4^0.7 = (2²)^0.7 = 2^1.4 (при возведении степени в степень показатели перемножают)
2^1.3 * 2^(-0.7) * 2^1.4 = 2^(1.3-0.7+1.4) = 2² = 4 (при умножении степеней с одинаковыми основаниями показатели складывают)
2^1.3 * 2^(-0.7) * 2^1.4 = 2^(1.3-0.7+1.4) = 2² = 4 (при умножении степеней с одинаковыми основаниями показатели складывают)
Вас заинтересует
2 года назад
2 года назад
7 лет назад
7 лет назад
10 лет назад
10 лет назад