• Предмет: Алгебра
  • Автор: Артур998
  • Вопрос задан 10 лет назад

Решите неравенство.есть вложение.

Приложения:

Ответы

Ответ дал: manyny06
0
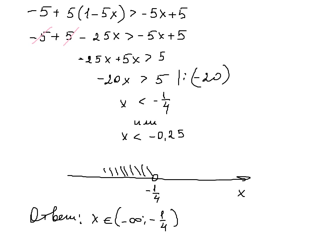
-5 + 5- 25x > -5x +5
-25x + 5x > 5
-20 x > 5
x< -520
x< - 14
x∈ (-∞ ; -14) 
Ответ дал: Артур998
0
Скажите пожалуйста в каких случаях знак больше или меньше в неравенстве меняется на противоположный?
Ответ дал: manyny06
0
в данном случае, для того чтобы найти х и правую и левую части неравенства разделили на -20 (отрицательное число) , поэтому знак меняется
Ответ дал: esmilya
0
Если понравилось решение - нажимай "спасибо" и "лучший" (рядом с кнопкой "спасибо") :)
Приложения:
Вас заинтересует