Ответы
Ответ дал:
0
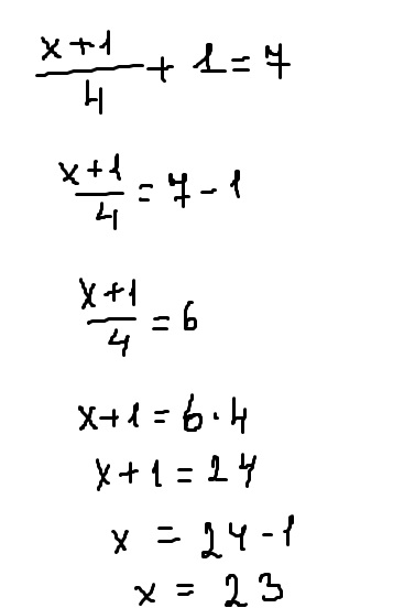
(x+1):4+1=7
(x+1):4=6
x+1=24
x=23
(x+1):4=6
x+1=24
x=23
Ответ дал:
0
Если понравилось решение - нажимай "спасибо" и "лучший" (рядом с кнопкой "спасибо") :)
Приложения:

Вас заинтересует
2 года назад
7 лет назад
10 лет назад
10 лет назад
10 лет назад