определите,какое из данных чисел расположено на координатной прямой левее и на сколько?-0,1 или 0,01; -0,1 или -0, 01; -0,1 или 0,01; 0,1 или -0,01. И если можете-подскажите тему пожалуйста, я не была на уроке по болезни(
Ответы
Ответ дал:
0
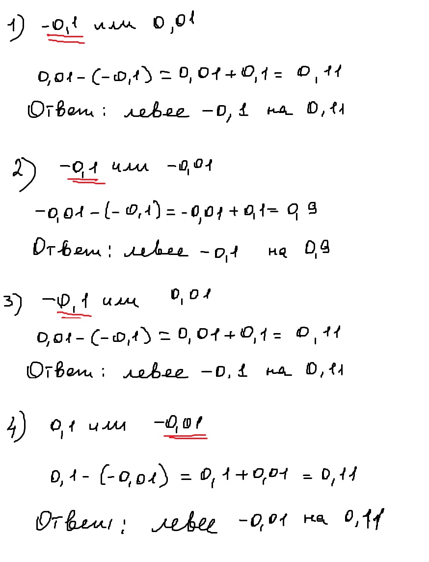
1) -0,1 левее 0,01 на 0,11
2) -0,1 левее -0,01 на 0,09
3) -0,1 левее 0,01 на 0,11
4) -0,01 левее 0,1 на 0,11
Наверно тема такая: "Координатная прямая и отрицательные числа".
2) -0,1 левее -0,01 на 0,09
3) -0,1 левее 0,01 на 0,11
4) -0,01 левее 0,1 на 0,11
Наверно тема такая: "Координатная прямая и отрицательные числа".
Ответ дал:
0
Если понравилось решение - нажимай "спасибо" и "лучший" (рядом с кнопкой "спасибо") :)
Приложения:
Ответ дал:
0
а 0,1 или 0,01?)
Вас заинтересует
3 года назад
3 года назад
8 лет назад
8 лет назад
11 лет назад