• Предмет: Математика
  • Автор: Таня1998йй
  • Вопрос задан 10 лет назад

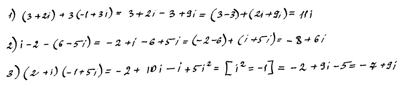
Вычислить: 1) (3+2i)+3(-1+3i) ; 2) i-2-(6-5i) ; 3) (2+i)(-1+5i)

Ответы

Ответ дал: UluanaV
0
Решение в прикрепленном файле.
Приложения:
Вас заинтересует