• Предмет: Алгебра
  • Автор: Saule789
  • Вопрос задан 10 лет назад

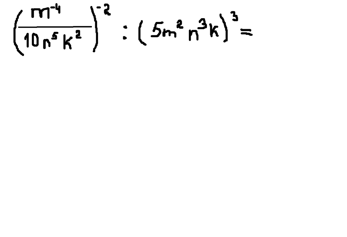
Упростите: 

Ответ: 0,8m^2nk

Приложения:

Ответа на этот вопрос пока нет. Попробуйте найти его через форму поиска.

Вас заинтересует