• Предмет: Алгебра
  • Автор: Аноним
  • Вопрос задан 11 лет назад

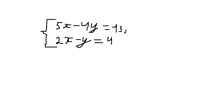
ПОМОГИТЕ СРОЧНО ПЛИЗЗ!! РЕШИТЬ СИСТЕМУ УРАВНЕНИЙ ВО ВКЛАДЫШЕ!!

Приложения:

Ответы

Ответ дал: liagushonok
0

5x-4y=13         5x-4y=13  

                                      -

2x-y=4    *4      8x-4y=16 

                       

                       -3x=-3

                         x=1

 

    5-4y=13 

   y=-2

 

ответ:(1;-2) 

Вас заинтересует