Ответы
Ответ дал:
0
лялялялялялялялляляляляляля
Приложения:
Ответ дал:
0
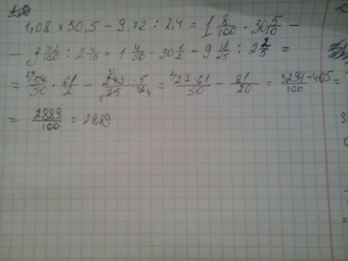
Очевидно, что ответ
28,89
Список детсвий:
1) находишь 1,08*30,5
2) 9,72/2,4
3) потом из разность
Если не можешь посчитать или хочешь проверить - воспользуйся калькулятором
28,89
Список детсвий:
1) находишь 1,08*30,5
2) 9,72/2,4
3) потом из разность
Если не можешь посчитать или хочешь проверить - воспользуйся калькулятором
Приложения:
Вас заинтересует
3 года назад
3 года назад
8 лет назад
10 лет назад
10 лет назад
11 лет назад