• Предмет: Алгебра
  • Автор: anechk10
  • Вопрос задан 10 лет назад

Решите пожалуйста ))))))))))))

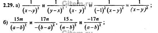
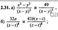
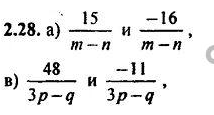
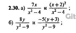
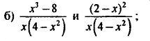
Приложения:

Ответы

Ответ дал: malishkapinki
0
 x^{3} -8 /  x(4-x ^{2} )=  x^{3} -8 /4x- x^{3} ,  x^{3 -сокращается и далее получается -8/4x=-2 x
Вас заинтересует