• Предмет: Алгебра
  • Автор: Кристина4ка1739
  • Вопрос задан 11 лет назад

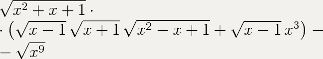
Упростите выражение (√x^3-1)(x^3+√x^3+1)-x^4√x 

Ответы

Ответ дал: Krash
0

упрощенное выражение.. .

Приложения:
Вас заинтересует