• Предмет: Математика
  • Автор: zhuparmusagali
  • Вопрос задан 10 лет назад

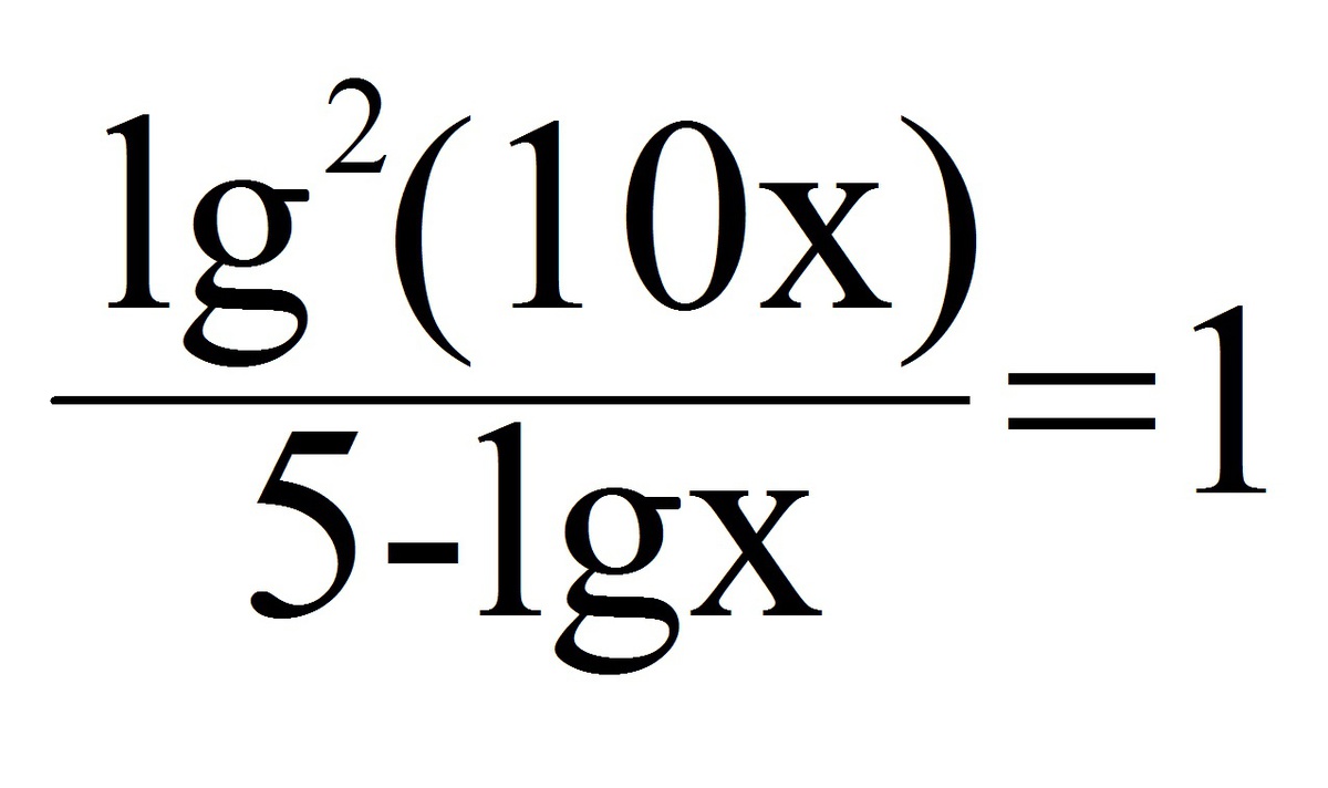
Помогите решить уравнение lg^2(10x)/(5-lgx)=1

Приложения:

Ответа на этот вопрос пока нет. Попробуйте найти его через форму поиска.

Вас заинтересует