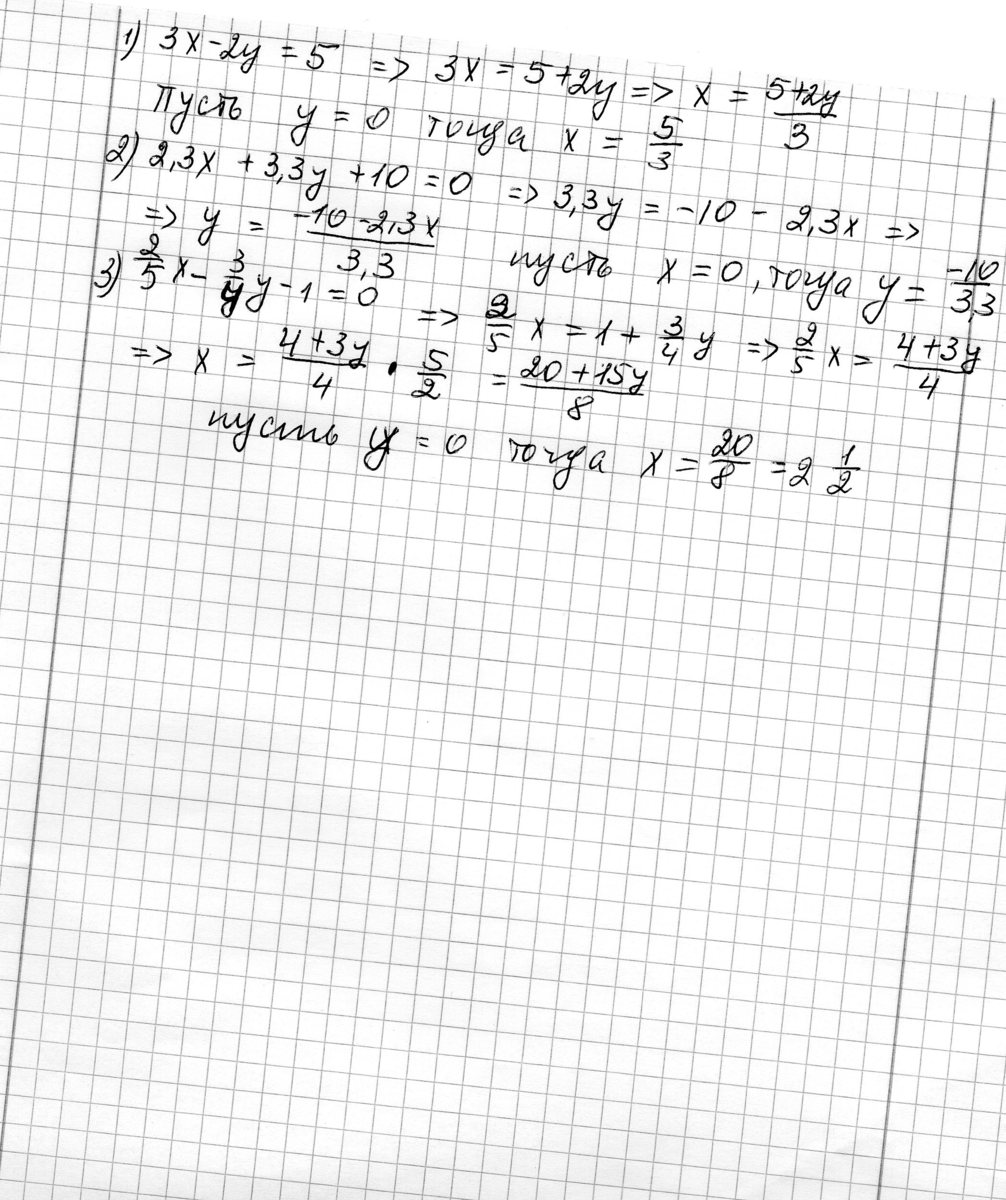
Выразите из уравнений одну из переменных через другую и найдите какие-нибудь два решения уравнения:
1) 3х-2у=5
2)2,3х+3,3у+10=0
3)2/5х-3/4у-1=0
Ответы
Ответ дал:
0
решение))))))))))))))))))))))))))))))))))
Приложения:
Вас заинтересует
3 года назад
3 года назад
8 лет назад
8 лет назад
11 лет назад
11 лет назад
11 лет назад
11 лет назад