• Предмет: Алгебра
  • Автор: OloloshaOloloeva
  • Вопрос задан 10 лет назад

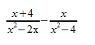
Выполните вычитание дробей:

Приложения:

Ответы

Ответ дал: astkhik
0
={х+4} / {х*(х-2)} - х/ {(х-2)(х+2)} = приводим к общему знаменателю {(х+4)(х+2)-х*х} / {х(х-2)(х+2)} = раскрываем скобки { х*х+4х+2х+8-х*х} / {х(х-2)(х+2)} = {6х+8} / {х(х*х-4)}
Вас заинтересует
10 лет назад