• Предмет: Химия
  • Автор: 89878230266
  • Вопрос задан 11 лет назад

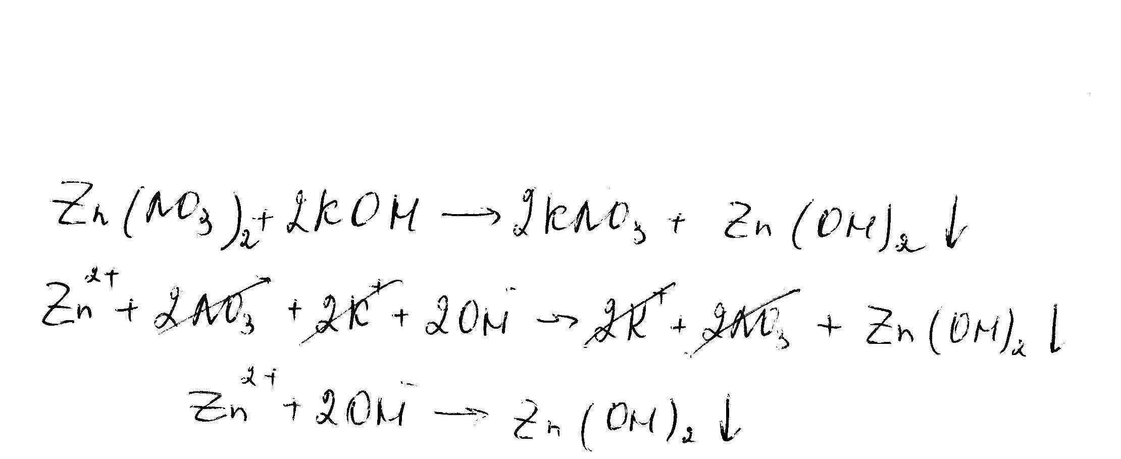
Zn(NO3)2+KOH-KNO3+Zn(OH)2

Ответы

Ответ дал: sasham99
0

Надеюсь, что правильно поняла задание)

Приложения:
Вас заинтересует