• Предмет: Алгебра
  • Автор: Ник1998
  • Вопрос задан 11 лет назад

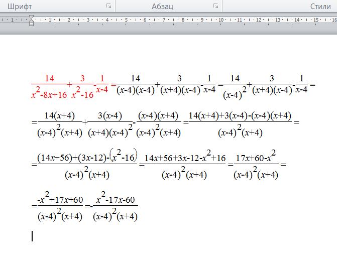
14                     +      3                 -          1

____________       _________      __________

x^2-8x+16               x^2-16                   x-4

решите быстро плиз

Ответы

Ответ дал: triolana
0

==============================================

Приложения:
Вас заинтересует