Ответы
Ответ дал:
0
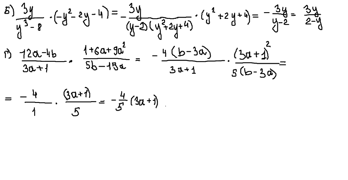
Все элементарно, главное - знать формулы сокращенного умножения
ой, случайно решил не Г, а В
Исправился, вот решение под Г
ой, случайно решил не Г, а В
Исправился, вот решение под Г
Приложения:


Ответ дал:
0
....................................
Приложения:

Вас заинтересует
2 года назад
7 лет назад
7 лет назад
10 лет назад
10 лет назад