• Предмет: Алгебра
  • Автор: ijeck
  • Вопрос задан 10 лет назад

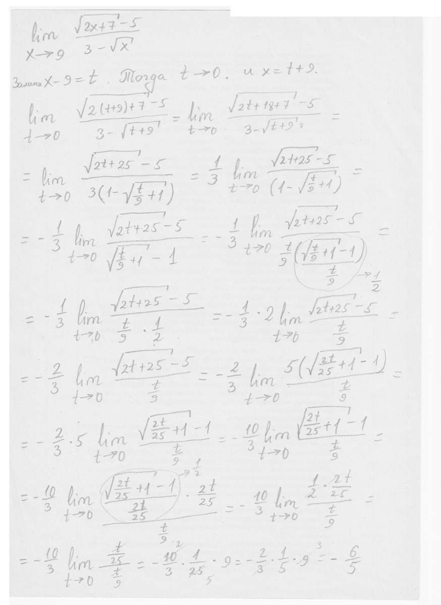
Пределы. Заранее спасибо.

Приложения:

Ответы

Ответ дал: bearcab
0
Смотри во вложениях. Должно быть понятно
Приложения:
Вас заинтересует