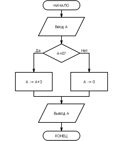
Дано целое число А. Если значение А=0,то необходимо увеличить его на 3,иначе присвоить А значение,равное 0. Разработать схему алгоритма для решения этой задачи. Протестировать алгоритм для А=0, А=-1, А=8. Информатика.
Ответы
Ответ дал:
0
1. A=0; A=0 -> A=A+3=3
2. A=-1; A≠0; A=0
3. A=8; A≠0 -> A=0
2. A=-1; A≠0; A=0
3. A=8; A≠0 -> A=0
Приложения:
Вас заинтересует
3 года назад
3 года назад
8 лет назад
8 лет назад
10 лет назад
10 лет назад
11 лет назад