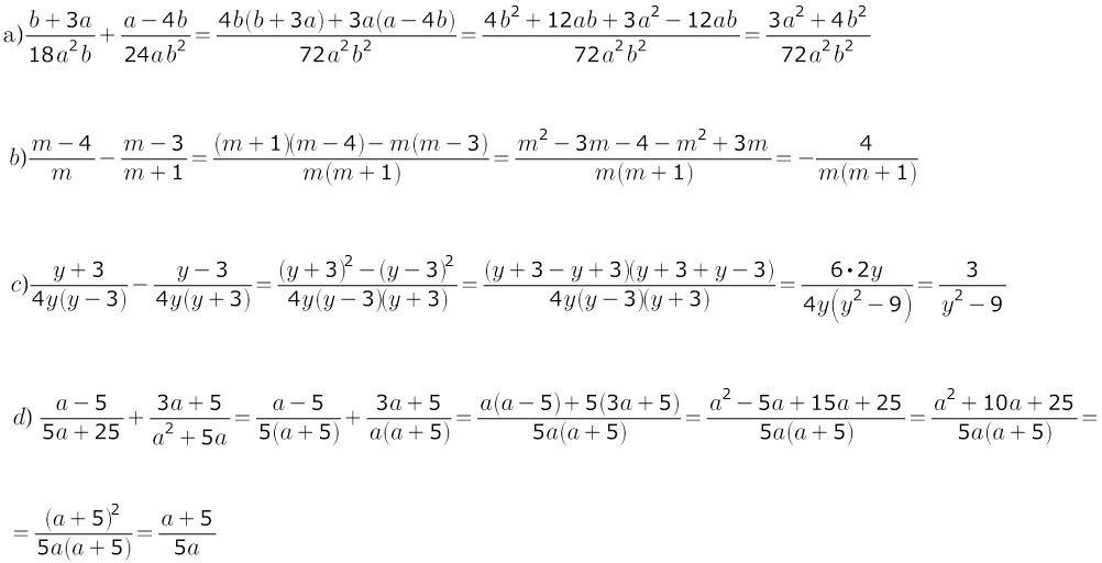
СРОЧНО!!!! выполни действия а) b+3a18a^2b +a-4b24ab^2 ; б)m-4m - m-3m+1; в) y+34y(y-3) - y-34y(y+3); Г)a-55a+25 + 3a+5a^+5a
Ответы
Ответ дал:
0
Решение смотрите на фотографии...
Приложения:
Вас заинтересует
3 года назад
3 года назад
8 лет назад
8 лет назад
10 лет назад
10 лет назад
11 лет назад
11 лет назад