Ответы
Ответ дал:
0
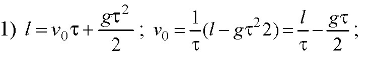
Дано: τ = 2 с; l = 60 м.Найти: t.
Приложения:

Вас заинтересует
2 года назад
2 года назад
7 лет назад
7 лет назад
10 лет назад
10 лет назад
10 лет назад
10 лет назад