• Предмет: Математика
  • Автор: Школьныезнанияучимс
  • Вопрос задан 10 лет назад

Решите неравенство, пожалуйста

Приложения:

Ответы

Ответ дал: arsenlevadniy
0
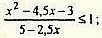
 frac{x^2-4,5x-3}{5-2,5x}  leq 1, \
5-2,5x neq 0, -2,5x neq -5, x neq 2, \
 frac{x^2-4,5x-3}{5-2,5x}-1  leq 0, \
 frac{x^2-4,5x-3-(5-2,5x)}{5-2,5x}  leq 0, \
 frac{x^2-4,5x-3-5+2,5x}{5-2,5x}  leq 0, \
 frac{x^2-2x-8}{5-2,5x}  leq 0, \
 frac{x^2-2x-8}{5-2,5x}  = 0, \
x^2-2x-8=0, \
x_1=-2, x_2=4, \
x^2-2x-8=(x+2)(x-4), \
(x+2)(x-4)(5-2,5x) leq 0, \
-2,5(x+2)(x-4)(x-2) leq 0, \
(x+2)(x-2)(x-4)  geq 0, \
xin [-2;2)cup[4;+infty)
Вас заинтересует