Ответы
Ответ дал:
0
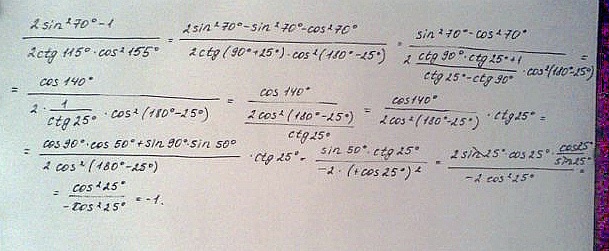
=-сos140/2ctg(90+25)*cos²(180-25)=-cos(90+50)/-2tg25*cos²25=sin50/-2sin25cos²25=
=-sin50/sin50=-1
=-sin50/sin50=-1
Ответ дал:
0
не получается, там уже 2 места заняты. Но скажи, там есть ответ х =-1?
Ответ дал:
0
Решение прикреплено файлом!
Приложения:

Вас заинтересует
2 года назад
2 года назад
7 лет назад
10 лет назад
10 лет назад
10 лет назад