• Предмет: Алгебра
  • Автор: Аноним
  • Вопрос задан 10 лет назад

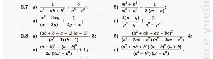
РЕБЯТА ПОМОГИ СРОЧНО РЕШИТЬ НОМЕР 2.7 ПОЛНОСТЬЮ А НОМЕР 2.8 ПО А) Г)!БУДУ ОЧЕНЬ БЛАГОДАРНА,ПОМОГИТЕ ДАЮ 50 БАЛЛОВ

Приложения:

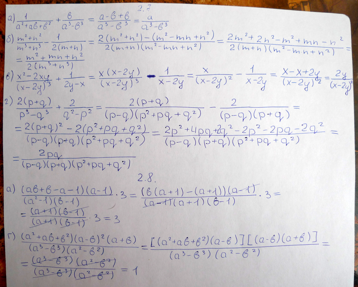
Ответы

Ответ дал: flsh
0
См. решение в приложении
Приложения:
Вас заинтересует