• Предмет: Алгебра
  • Автор: JJJJJJ28
  • Вопрос задан 10 лет назад

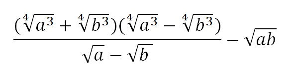
Упростите выражение:

Приложения:

Ответы

Ответ дал: nafanya2014
0
 frac{( sqrt[4]{a ^{3} }+ sqrt[4]{b ^{3} })( sqrt[4]{a ^{3} }- sqrt[4]{b ^{3} })  }{ sqrt{a}- sqrt{b}  }- sqrt{ab}=   \ =frac{(( sqrt[4]{a ^{3} }) ^{2} -( sqrt[4]{b ^{3} }) ^{2} )}{ sqrt{a}- sqrt{b}  }- sqrt{ab}=
=frac{ sqrt{a ^{3} }  - sqrt{b ^{3} }  }{ sqrt{a}- sqrt{b}  }- sqrt{ab}= \= frac{(sqrt{a}  - sqrt{b})(a+ sqrt{a} cdot sqrt{b} +b)  }{ sqrt{a}- sqrt{b}  }- sqrt{ab}= \ =a+ sqrt{a} cdot sqrt{b} +b-sqrt{ab}= a+b
Вас заинтересует