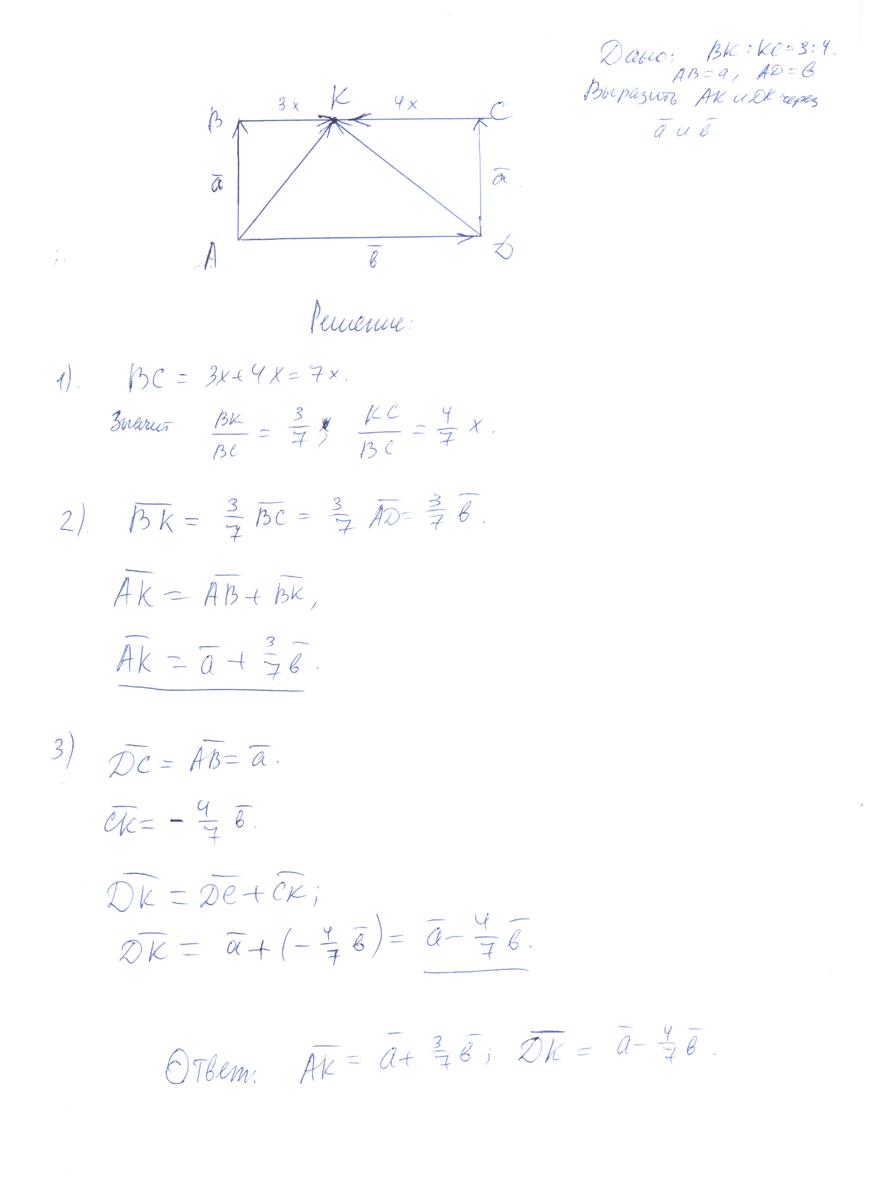
На стороне ВС прямоугольника АВСД отмечена точка К так, что ВК : КС = 3 : 4. Выразить вектор АК, вектор ДК, через векторы а = АВ и б = АД
Ответы
Ответ дал:
0
Решение во вложениях) Удачи)
Приложения:

Вас заинтересует
2 года назад
7 лет назад
7 лет назад
10 лет назад
10 лет назад
10 лет назад