Ответы
Ответ дал:
0
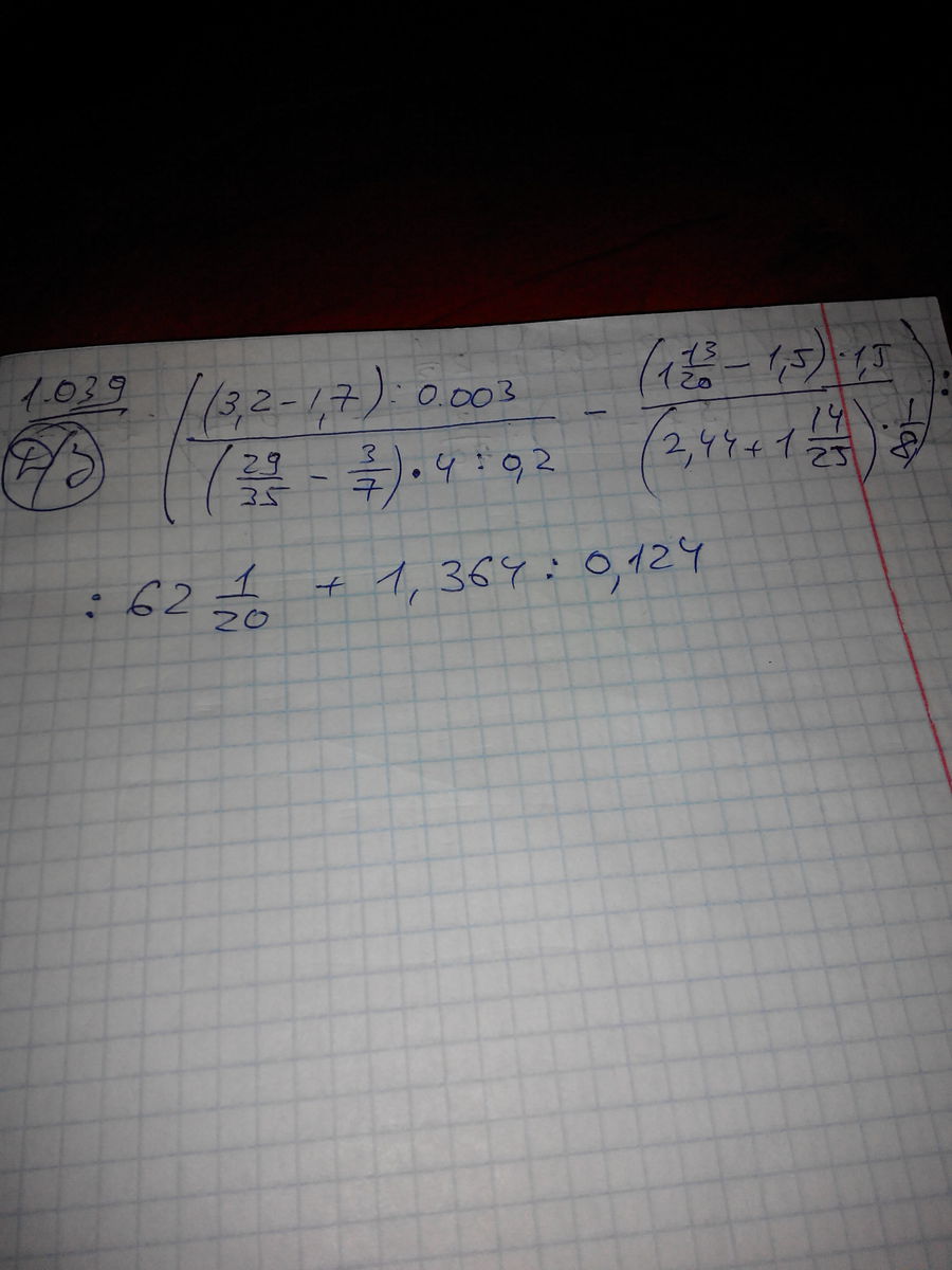
1)3,2-1,7=1,5
2)1,5:0,003=500
3)29/35-3/7=14/35=2/5=0,4
4)0,4×4=1,6
5)1,6:0,2=8
6)500:8=62,5
7)1 13/20-1,5=1,65-1,5=1,15
8)1,15×1,5=1,725
9)2,44+1 14/25=2,44+1,56=4
10)4×1/8=4/1×1/8=1/2=0,5
11)1,725:0,5=3,45
12)62,5-3,45=59,05
13)59,05:62 1/20=59,05:62,05=0,95 (это число приблизительное )
14)1,364:0,124=11
15)0,95+11=11,95
2)1,5:0,003=500
3)29/35-3/7=14/35=2/5=0,4
4)0,4×4=1,6
5)1,6:0,2=8
6)500:8=62,5
7)1 13/20-1,5=1,65-1,5=1,15
8)1,15×1,5=1,725
9)2,44+1 14/25=2,44+1,56=4
10)4×1/8=4/1×1/8=1/2=0,5
11)1,725:0,5=3,45
12)62,5-3,45=59,05
13)59,05:62 1/20=59,05:62,05=0,95 (это число приблизительное )
14)1,364:0,124=11
15)0,95+11=11,95
Ответ дал:
0
спасибо)
Вас заинтересует
3 года назад
3 года назад
8 лет назад
8 лет назад
10 лет назад
10 лет назад
11 лет назад