• Предмет: Геометрия
  • Автор: vikuska970903
  • Вопрос задан 10 лет назад

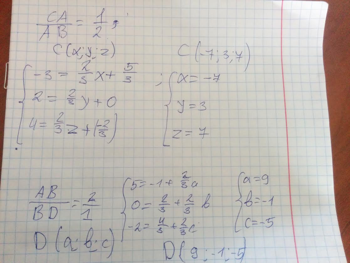
даны точки А(-3;2;4) и В (5;0;-2)
найдите координаты точек С и Д, если точки А и В делят отрезок СД в отношении 1:2:1

Ответы

Ответ дал: Koel
0
вот ответ решение на листочке
Приложения:
Ответ дал: vikuska970903
0
спасибо огромное
Вас заинтересует