• Предмет: Химия
  • Автор: Yaroslav14
  • Вопрос задан 11 лет назад

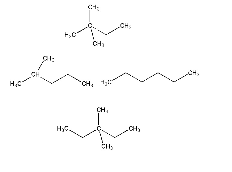
Дана формула 2,2 деметилбутан, написать 2 изомера и 1 гомолог.Назвать.

Ответы

Ответ дал: dimethylpentane
0

Изомеры: 

1. 2-метилпентан

2. гексан

Гомолог:

3,3-диметилпентан

Приложения:
Вас заинтересует