• Предмет: Химия
  • Автор: 31814140197e
  • Вопрос задан 11 лет назад

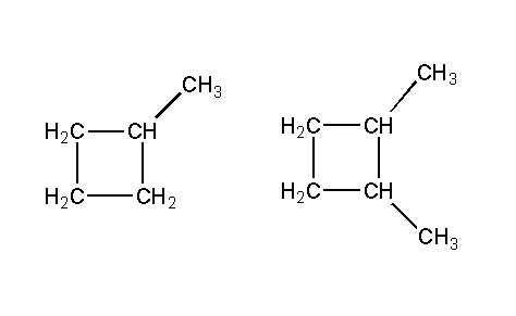
напишите структурные формулы следующих соединений: а) метилциклобутана; б) 1,2-диметилциклобутана ?????

Ответы

Ответ дал: dimethylpentane
0

Циклобутан — это, попросту говоря, квадрат. Значит, формулы имеют вид: 

Приложения:
Вас заинтересует