• Предмет: Геометрия
  • Автор: Ника5421
  • Вопрос задан 10 лет назад

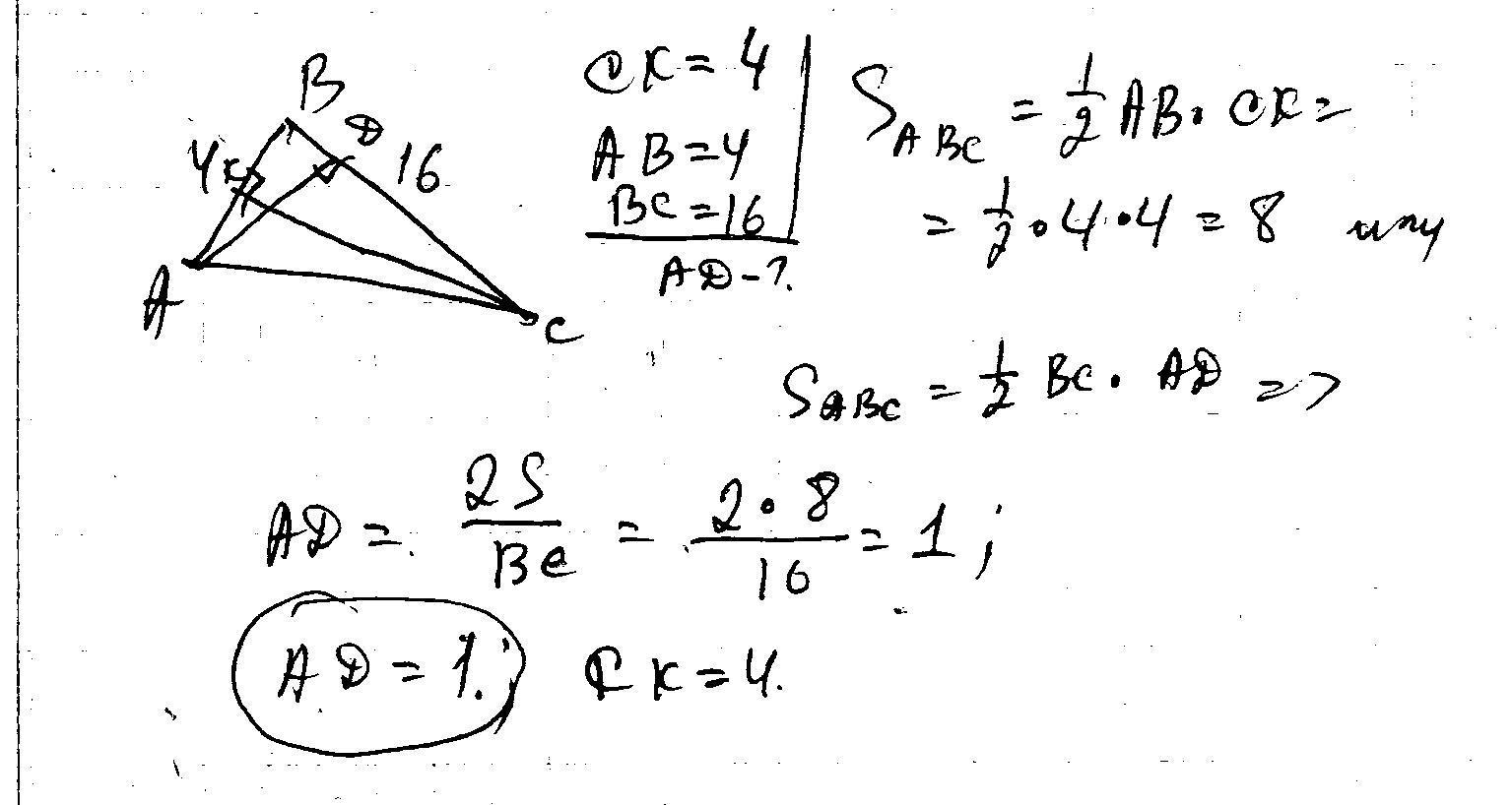
У треугольника со сторонами 4 и 16 проведены высоты к этимсторонам. Высота, проведенная к первой стороне, равна 4. Чему равна высота, проведенная ко второй стороне?

Ответы

Ответ дал: ужнеужели
0
У треугольника со сторонами 4 и 16 проведены высоты к этимсторонам. Высота, проведенная к первой стороне, равна 4. Чему равна высота, проведенная ко второй стороне?
Приложения:
Вас заинтересует