Помогите пожалуйста очень надо!!!нужно эту систему решить 2 способами: за формулою Крамера и методом Гауса !!!!!!!!!!!!!!!!!!!!!!!!!!!!!!!!очень-очень нужно!!!!!!!!!!!!!!!помогите
Приложения:

Ответы
Ответ дал:
0
легче простого
Решение:
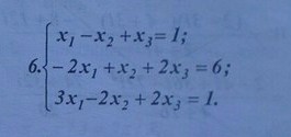
Перепишем систему уравнений в матричном виде и решим его методом Гаусса
1 -1 1 1 -2 1 2 6 3 -2 2 1
от 2; 3 строк отнимаем 1 строку, умноженную соответственно на -2; 3 1 -1 1 1 0 -1 4 8 0 1 -1 -2
2-ую строку делим на -1 1 -1 1 1 0 1 -4 -8 0 1 -1 -2
от 1; 3 строк отнимаем 2 строку, умноженную соответственно на -1; 1 1 0 -3 -7 0 1 -4 -8 0 0 3 6
3-ую строку делим на 3 1 0 -3 -7 0 1 -4 -8 0 0 1 2
от 1; 2 строк отнимаем 3 строку, умноженную соответственно на -3; -4 1 0 0 -1 0 1 0 0 0 0 1 2 Ответ:
x1 = -1x2 = 0x3 = 2
Решение:
Перепишем систему уравнений в матричном виде и решим его методом Гаусса
1 -1 1 1 -2 1 2 6 3 -2 2 1
от 2; 3 строк отнимаем 1 строку, умноженную соответственно на -2; 3 1 -1 1 1 0 -1 4 8 0 1 -1 -2
2-ую строку делим на -1 1 -1 1 1 0 1 -4 -8 0 1 -1 -2
от 1; 3 строк отнимаем 2 строку, умноженную соответственно на -1; 1 1 0 -3 -7 0 1 -4 -8 0 0 3 6
3-ую строку делим на 3 1 0 -3 -7 0 1 -4 -8 0 0 1 2
от 1; 2 строк отнимаем 3 строку, умноженную соответственно на -3; -4 1 0 0 -1 0 1 0 0 0 0 1 2 Ответ:
x1 = -1x2 = 0x3 = 2
Вас заинтересует
2 года назад
7 лет назад
7 лет назад
10 лет назад
10 лет назад