• Предмет: Алгебра
  • Автор: DREAM101
  • Вопрос задан 10 лет назад

построить график уравнения: x^2+y^2=25/4

Ответы

Ответ дал: Аноним
0
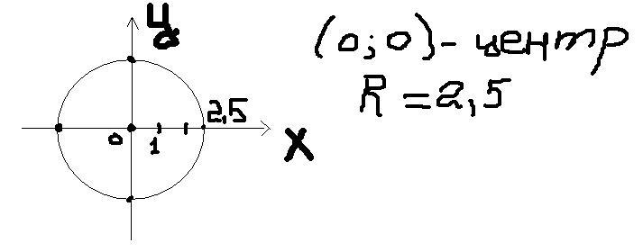
Окружность с центром в точке (0;0) и радиусом равным 5/2=2,5

Ответ дал: wangross
0
(0;0) -  центр окружности
R=2,5
Приложения:
Вас заинтересует