• Предмет: Математика
  • Автор: udaryan
  • Вопрос задан 10 лет назад

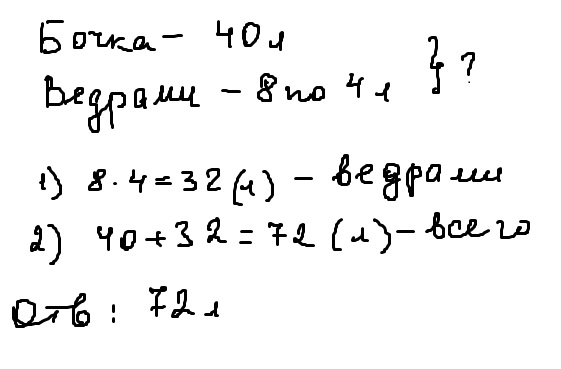
Для полива грядок использовали 40 л воды из бочки и еще 8 ведер по 4 л. Сколько всего литров воды использовали. Краткое Условие задачи.

Ответы

Ответ дал: esmilya
0
Решениееееееееееееееееееее
Приложения:
Вас заинтересует