• Предмет: Алгебра
  • Автор: CheGuevara23
  • Вопрос задан 10 лет назад

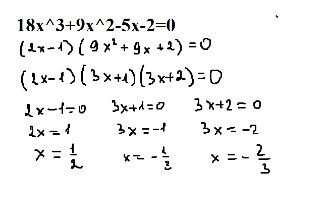
найдите рациональные корни уравнения: 
18x^3+9x^2-5x-2=0
Помогите!

Ответы

Ответ дал: esmilya
0
Решениеееееееееееееееееееее
Приложения:
Ответ дал: esmilya
0
)))))))))
Вас заинтересует