Ответы
Ответ дал:
0
Решениееееееееееееееееее
Приложения:

Ответ дал:
0
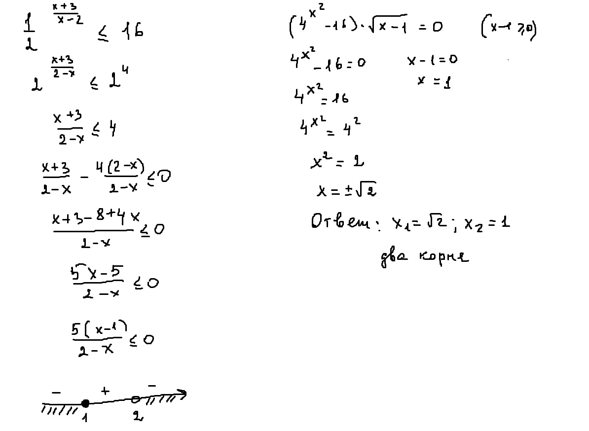
(1/2)^(x+3 / x-2) ≤ 16;
(1/2)^(x+3 / x-2) ≤ (1/2)^(-4);
1/2<1; ⇒x + 3 / x- 2 ≥ -4;
(x+3) /(X-2) + 4 ≥ 0;
(x +3 +4(X-2)) /(x-2) ≥ 0;
(5x - 5) / (x-2) ≥ 0;
5(x -1) / (x-2) ≥ 0;
X∈ ( - БЕСК-СТЬ; 1] ∨ (2; + БЕСК-СТЬ).
2. Найдем одз.
х - 1 ≥ 0:
⇒ х ≥ 1.
Решение сводится к решению 2 независимых уравнений:
1) x-1= 0 ; x = 1;
2) 4^(x^2) - 16 = 0;
4^(x^2) = 16;
4^(x^2) = 4^2 ; x^2 = 2;
x1 = - sgrt2 < 1; не подходит по одз
x2 = sgrt2 >1 - подходит.
.Ответ: корни х= 1 и х = корень квадратный из 2.
(1/2)^(x+3 / x-2) ≤ (1/2)^(-4);
1/2<1; ⇒x + 3 / x- 2 ≥ -4;
(x+3) /(X-2) + 4 ≥ 0;
(x +3 +4(X-2)) /(x-2) ≥ 0;
(5x - 5) / (x-2) ≥ 0;
5(x -1) / (x-2) ≥ 0;
X∈ ( - БЕСК-СТЬ; 1] ∨ (2; + БЕСК-СТЬ).
2. Найдем одз.
х - 1 ≥ 0:
⇒ х ≥ 1.
Решение сводится к решению 2 независимых уравнений:
1) x-1= 0 ; x = 1;
2) 4^(x^2) - 16 = 0;
4^(x^2) = 16;
4^(x^2) = 4^2 ; x^2 = 2;
x1 = - sgrt2 < 1; не подходит по одз
x2 = sgrt2 >1 - подходит.
.Ответ: корни х= 1 и х = корень квадратный из 2.
Приложения:

Вас заинтересует
2 года назад
7 лет назад
7 лет назад
10 лет назад
10 лет назад
10 лет назад