Ответы
Ответ дал:
0
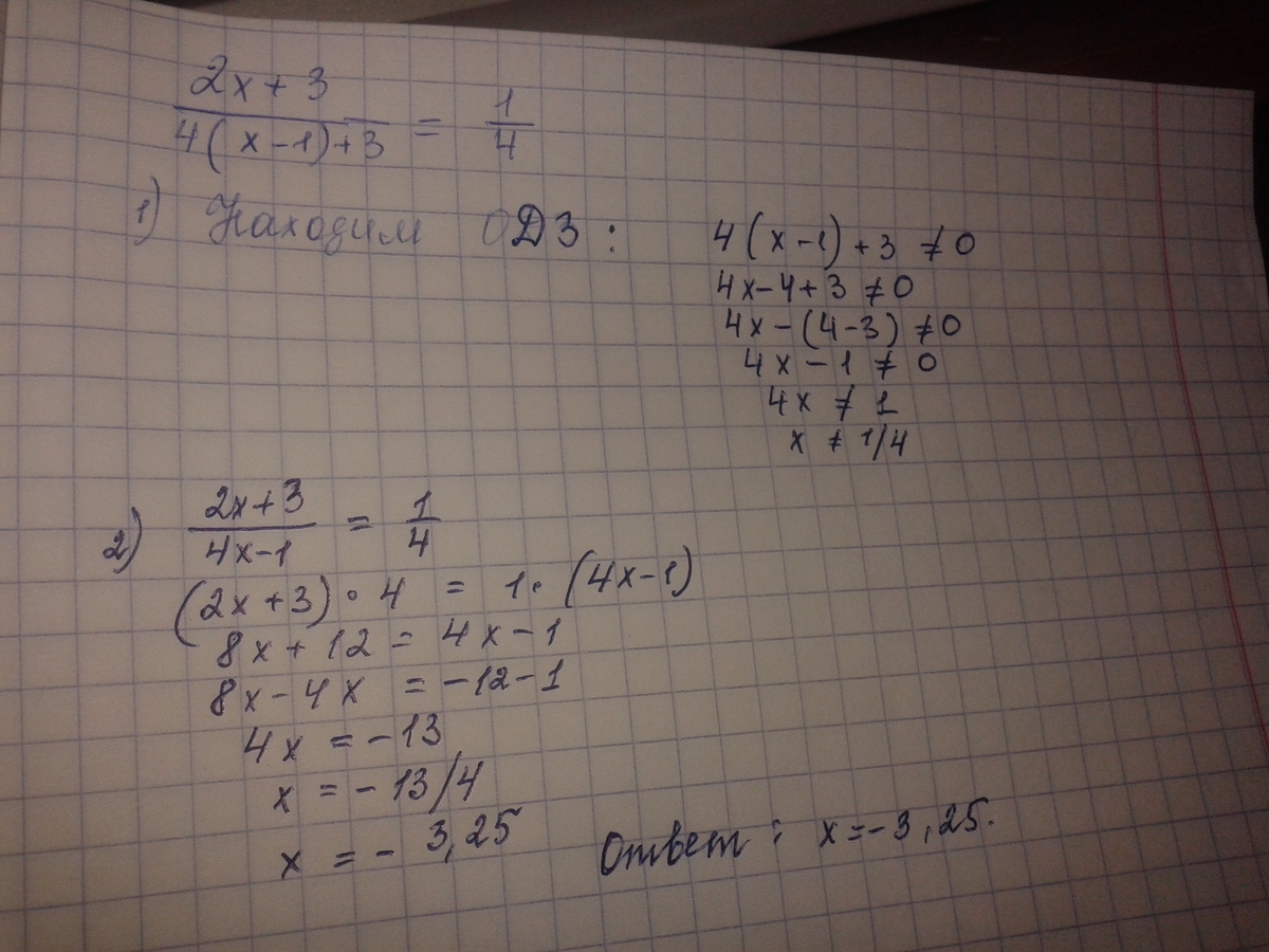
1) знаменатель не может равняться нулю:

2) перемножаем крест-накрест по правилу пропорции:

2) перемножаем крест-накрест по правилу пропорции:
Ответ дал:
0
Огромное спасибо!
Ответ дал:
0
решение смотри во вложении:
Приложения:

Вас заинтересует
2 года назад
7 лет назад
10 лет назад
10 лет назад