• Предмет: Алгебра
  • Автор: sfdffsd
  • Вопрос задан 11 лет назад

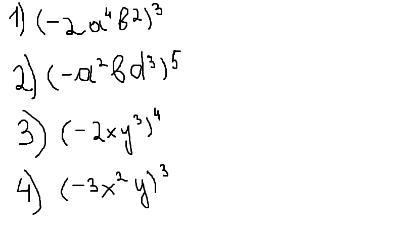
Представьте в виде одночлена стандартного вида

Приложения:

Ответы

Ответ дал: nastya280198
0

1)-8а12в6

2)-а10в5d15

3)16х4у12

4)27х6у3

=)))

Вас заинтересует