решите уравнения:1) 7(Х+8)-25=66, 2) 9(5х+13)-143=109, 3) 15(13х-7)-191=94..решите пожалусто только правельно...
Ответы
Ответ дал:
0
держи, и правильно писать правИльно.
Приложения:
Ответ дал:
0
спасибо тебе большое.........
Ответ дал:
0
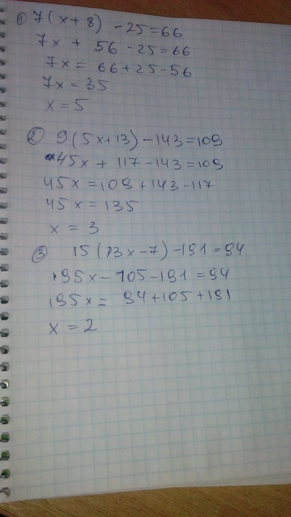
7(х+8)-25=66
7х+56-25=66
7х+56=66+25
7х+56=91
7х=91-56
7х=35
х=35:7
х=5
9(5х+13)-143=109
45х+117-143=109
45х+117=109+143
45х+117=252
45х=252-117
45х=135
х=135:45
х=3
15(13х-7)-191=94
195х-105-191=94
195х-105=94+191
195х-105=285
195х=285+105
195х=390
х=390:195
х=2
7х+56-25=66
7х+56=66+25
7х+56=91
7х=91-56
7х=35
х=35:7
х=5
9(5х+13)-143=109
45х+117-143=109
45х+117=109+143
45х+117=252
45х=252-117
45х=135
х=135:45
х=3
15(13х-7)-191=94
195х-105-191=94
195х-105=94+191
195х-105=285
195х=285+105
195х=390
х=390:195
х=2
Приложения:
Ответ дал:
0
спасибо...
Вас заинтересует
3 года назад
8 лет назад
8 лет назад
10 лет назад
10 лет назад
11 лет назад