• Предмет: Алгебра
  • Автор: Darya1710
  • Вопрос задан 10 лет назад

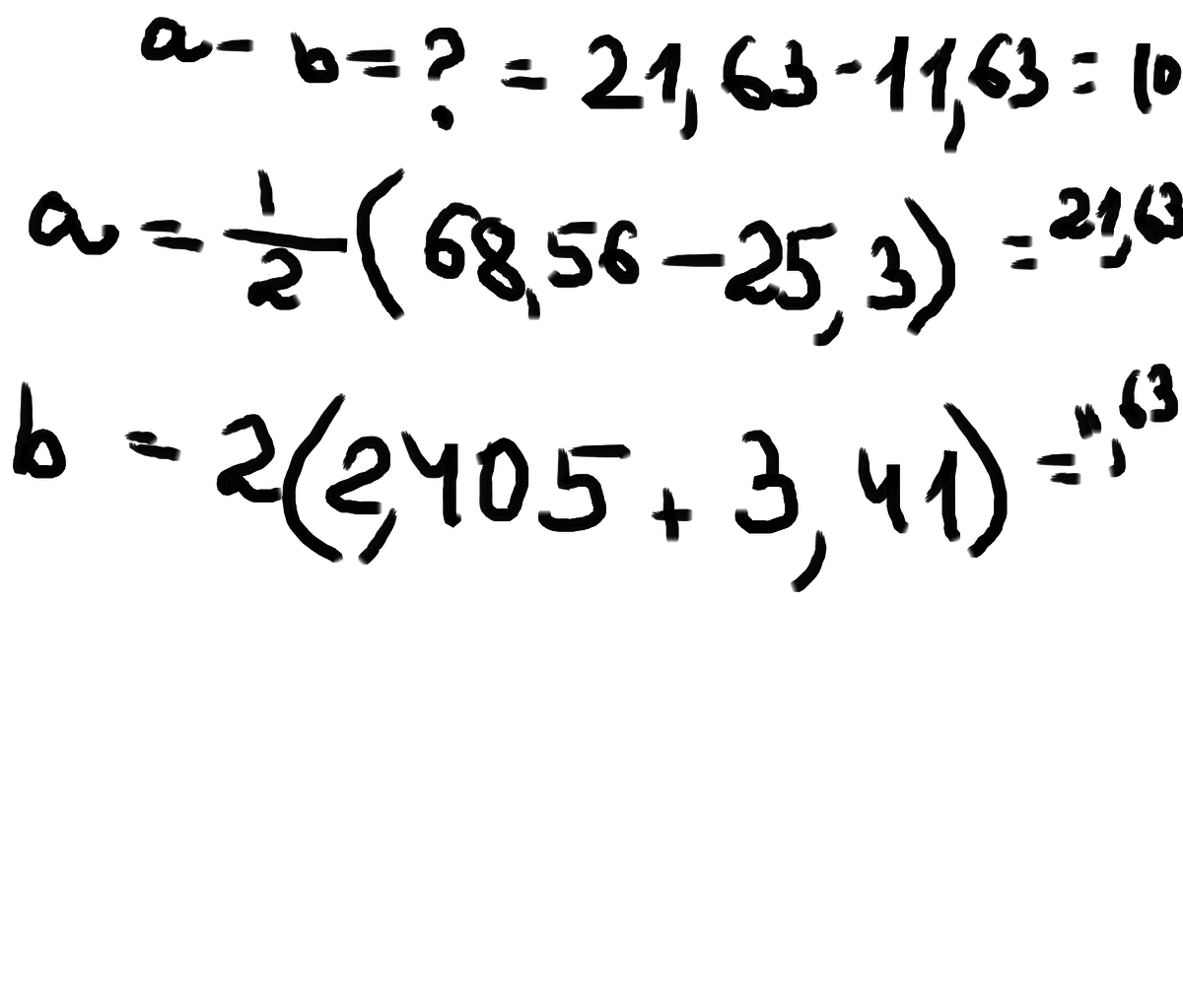
Найдите значение выражения а-b,если а-полуразность чисел 68,56 и 25,3,а b-удвоенная сумма чисел 2,405 и 3,41

Ответы

Ответ дал: ilalkai
0
вот) лдошольлпфкошзфытыгвнгьыбд
Приложения:
Ответ дал: Darya1710
0
не правильно...
Вас заинтересует