• Предмет: Физика
  • Автор: marievolf83
  • Вопрос задан 10 лет назад

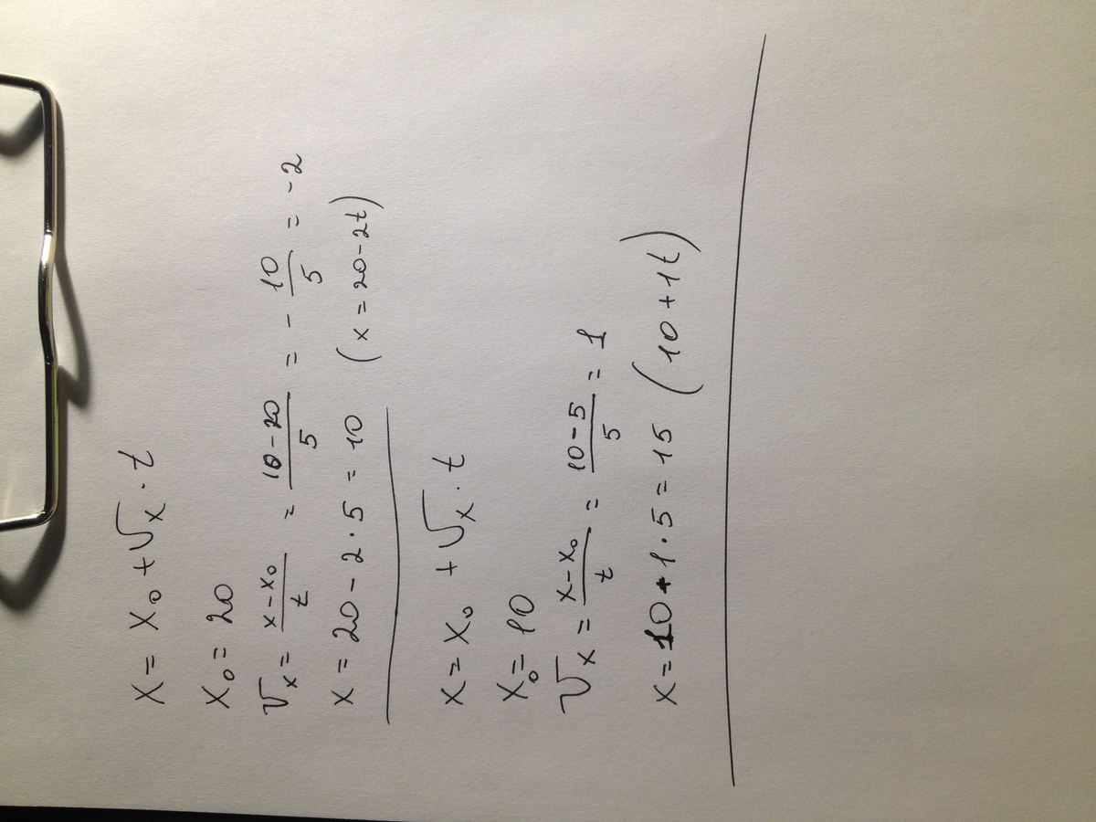
#1Графики движения двух тел представлены на рисунке . Напишите уравнения движения x=x(t) этих тел . Определите место и время их встречи графически и аналитически
#2. Даны уравнения движения двух тел : x1=5t и x2=150-10t . Постройте графики движения этих тел и определите место и время их встречи графически и аналитически

Приложения:

Ответы

Ответ дал: Panda777rus
0
мы тоже это делаем)) 
Приложения:
Вас заинтересует