Ответы
Ответ дал:
0
Ответ дал:
0
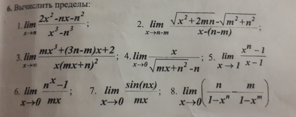
В №5 пользуемся разложением:

В №№6 и 7 заменяем бесконечно малые величины на эквивалентные.
В №№6 и 7 заменяем бесконечно малые величины на эквивалентные.
Приложения:
Вас заинтересует
3 года назад
3 года назад
8 лет назад
10 лет назад
10 лет назад
11 лет назад