• Предмет: Алгебра
  • Автор: lennon17
  • Вопрос задан 10 лет назад

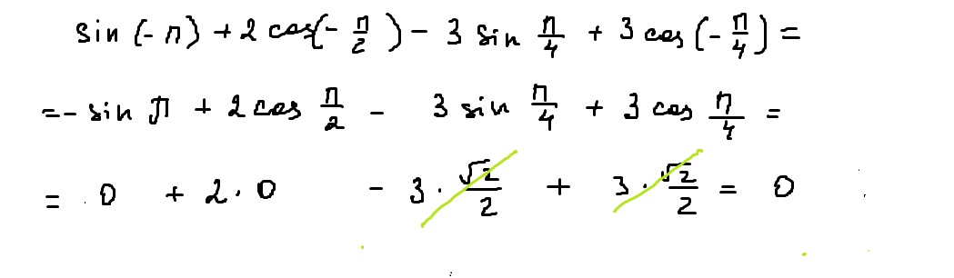
sin(-п)+2cos(-п2)-3sinп4+3cos(-п4)

Ответы

Ответ дал: esmilya
0
Решениеееееееееееееееееееееееее
Приложения:
Вас заинтересует