• Предмет: Математика
  • Автор: 666маринА999
  • Вопрос задан 11 лет назад

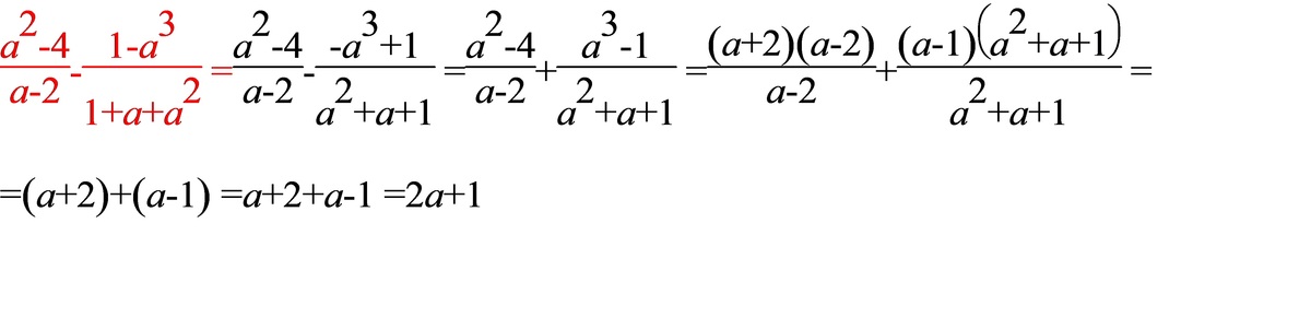
frac{a^2-4}{a-2}-frac{1-a^3}{1+a+a^2}

Ответы

Ответ дал: triolana
0

========================================

Приложения:
Вас заинтересует