• Предмет: Математика
  • Автор: isushhev
  • Вопрос задан 10 лет назад

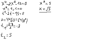
решите уравнение x^4-2x^2-15=0

Ответы

Ответ дал: Yasha96
0
Решение на картинке внизу
Приложения:
Вас заинтересует