• Предмет: Геометрия
  • Автор: Аноним
  • Вопрос задан 11 лет назад

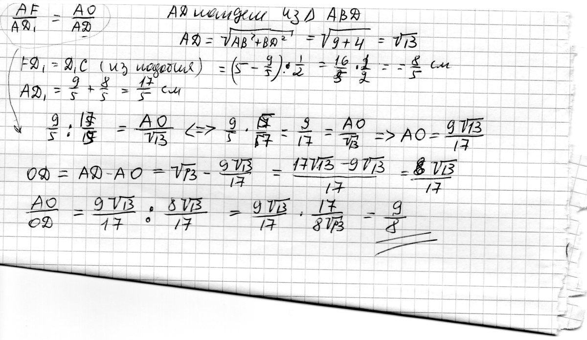
В прямоугольном треугольнике с катетами 3 и 4 см проведены высота прямого угла и медиана большего из острых углов.В каком отношении высота делит медиану?С рисунком

Ответы

Ответ дал: DominikUser3
0

фух решил    )))))))))))))))))))))))))))))))))))  состоит из 2-х файлов

Приложения:
Вас заинтересует